硫肽类抗生素是一类富含元素硫、结构被高度修饰的聚肽类天然产物,所有的成员都具有一个以6元杂环为核心、由多个5元杂环和脱水氨基酸所组成的环肽结构。大多数硫肽类抗生素具有良好的抗菌活性,其中部分成员对多种耐药性的条件致病菌具有极强的杀伤效果。在前期工作中,上海有机所的研究人员揭示了硫肽生源途径的共同特点,即以一条核糖体来源的前体肽为底物、经过保守的翻译后修饰而形成特征性的框架结构(Chem. Biol. 2009, 16, 141; ACS Chem. Biol. 2009, 4, 855; Mol. BioSyst. 2010, 6, 1180)。这一发现引起了广泛的关注和兴趣(亮点评述:SciBX 2009, 2(10), DOI: 10.1038/scibx.2009.423; Angew. Chem. Ind. Ed. 2009, 48, 6770; Nat. Prod. Rep. 2010, 27, 153)。
在生物合成的共性化研究基础上,上海有机所的研究人员分别以代表性成员Nosiheptide(NOS)和Thiostrepton(TSR)为对象、开展了针对硫肽类抗生素结构多样性的个性化探索。研究发现,NOC和TSR都具有一个相同的C-末端酰胺结构单元,但是在形成机制方面却完全不同(见下图)。NOC的生物合成途径中存在一个新型蛋白NosA,其功能的发挥有赖于末端丝氨酸在早期的翻译后修饰过程中脱水形成烯胺,异构成亚胺后在水分子的进攻下通过“内源性”的C-N键断裂形成了末端酰胺(
J. Am. Chem. Soc. 2010,
132, 16324)。而在TSR的生物合成途径中,末端酰胺的形成则是“外源性”的,即在羧酸酯酶TsrB的作用下将末端为甲酯的中间产物转化为羧酸产物;后者在酰胺转移酶TsrC的催化下生成TSR,其过程包括以谷氨酰胺为底物原位生成氨,后者进攻由ATP活化的羧基基团而产生酰胺并伴随谷氨酸、AMP和PPi的释放(
J. Am. Chem. Soc.
2011,
133, 2852)。这一有趣的现象反映了不同策略构筑相同结构单元的“趋同性”。
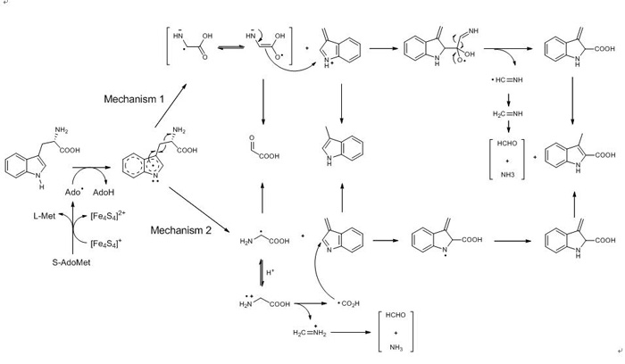
对于绝大多数多环的硫肽类抗生素而言,其侧环的形成独立于前体肽;然而却均包含了来源于L-色氨酸的结构迥异的功能单元,比如Tsr的喹哪啶酸单元和NOS的吲哚酸单元,体现了鲜明的“趋异性”特色。其中,吲哚酸的合成化学上需要多步复杂反应以实现L-色氨酸侧碳链的重排,包括C2-N单元的去除和羧基在吲哚环上的迁移。最近,研究人员发现了一个S-腺苷甲硫氨酸(SAM)依赖的新型酶蛋白NosL,以自由基介导的方式独立负责了3-甲基-2-吲哚酸(MIA)的合成,这一复杂的转化包含了不同寻常的“片段化重组(Fragmentation-Recombination)”过程。在体内和体外研究相结合的实验基础上,研究人员对NosL蛋白及其催化的反应进行了包括各种谱学手段在内的鉴定和表征,确定了相应的底物、产物(包括部分副产物和中间产物)和辅助因子,分析了C2-C3键断裂的模式,并推导了NosL的酶学机制(见下图)。这一研究结果以全文的方式发表于《自然-化学生物学》杂志(Nat. Chem. Biol. 2011, 7, 154)。
SAM-依赖的自由基蛋白超家族目前包含了数千个成员,参与了动物、植物和微生物体内大量的重要生物化学过程。这些蛋白以SAM为底物、并采用共同的机制产生一种强氧化剂——自由基Ado•,从而起始了高度多样性的反应参与各种生物转化,比如DNA的修复和维生素、辅助因子及抗生素的生物合成。但是,大多数反应的生物化学机理至今尚不清楚,主要原因在于相关酶蛋白的功能和自由基介导的生物转化没有被阐明。3-甲基-2-吲哚酸合成酶NosL的发现,在理解SAM-依赖的自由基蛋白所催化的复杂结构重排反应方面迈出了重要的一步。美国宾夕法尼亚州立大学的生物化学家S. J. Booker教授在同期发表的《自然-化学生物学》杂志上,对该发现的意义进行了专文评述(Nat. Chem. Biol. 2011, 7, 133)。

以自由基介导方式合成MTA的过程
此外,研究人员还对NosL的底物容忍性进行了测试,发现5-或6-位氟取代的L-色氨酸类似物均能被NosL所转化,生成相应的氟代3-甲基-2-吲哚酸。为检验后者能否作为功能单元用于硫肽的合成,研究人员将5-氟-色氨酸添加至NOS产生菌的发酵液中,结果成功地获得了类似物5'-fluro-NOS,其抗菌活性比母化合物高出一倍。迄今为止,硫肽类抗生素家族的天然成员已超过80个,尚未有一例含卤素的成员被发现。这一发现为运用组合生物合成技术进一步拓展硫肽类抗生素的结构多样性、发现更具价值的抗感染药物提供了一些依据。
关于硫肽类抗生素的生物合成研究获得了国家自然科学基金委、中国科学院、科技部和上海市科委的资助。